VIRUS
"Ничего не нужно, только быть убежденным"

Цицерон
I.
Вирус (Лат. virus - яд) — структурированное белковое вещество, продукт метаболизма клеточного организма, организованный для записи, хранения, перемещения и передачи информации.
Вирусы:

- Экзогенные (внешние). Используются для решения задач по размещению информации в клеточные организмы и созданные ими группы систем©, вне продуцирующего его клеточного организма и его группы систем©.
- Эндогенные (внутренние). Используются для решения задач по размещению информации в группе системы© продуцирующего его клеточного организма.

Группа систем© - белковая структура, состоящая из множества систем, меньшего размера, органов, входящих в эти системы, и клеток, организованных в органы или существующих в группе систем© независимо.

Человек – есть ничто иное, как группа систем©.
Теория вирусов THYMUS.TECH основана на утверждении существования видимого вирусного механизма©, принципы работы которого могут быть описаны.
Вирусный механизм© - процесс решения задач по размещению информации, предварительно заданный для клеточных организмов и образуемых ими органов, систем и группы систем©.

Вирус - продукт клетки, её мысли о "настоящем, прошлом и будущем".

Алгоритмы, реализуемые процессом вирусного механизма©, нацелены на создание достаточного количества источников для:
  • надежного сохранения информации
  • достоверного тиражирования информации
  • оперативного распространения информации

Вирусный механизм© - конечная совокупность алгоритмов, набора инструкций и информации, описывающих порядок действий клеточного организма для решения произвольного класса задач.

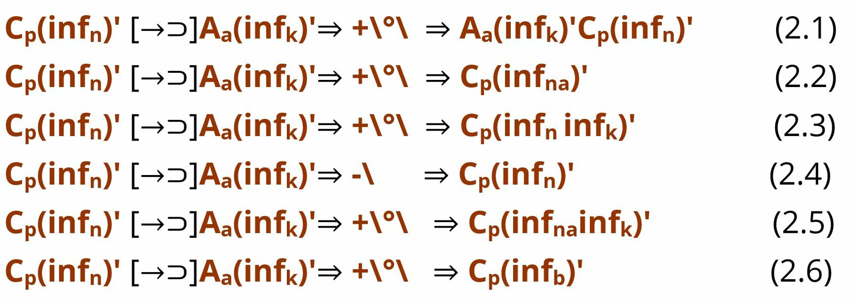
Общий вид алгоритма для вирусного механизма© видится как:
Алгоритм (1) для вирусного механизма© строится на инварианте возможности© [W], для принятых, в процесс реагирования клеточного системного решения© Cр(infn)' на предлагаемую к размещению информацию от вируса Aа(infk)' (а-типа k-формата), решений.
Инвариант возможности© - это число не прогнозируемого результата при информационных преобразованиях определённого типа.


Клеточное системное решение© (КСР) – это совокупность алгоритмов, инструкций, базы данных© и обособленной информации для реагирования клеточного организма на доступную к размещению или размещенную информацию через системный вирусный механизм©.

База данных© – структурированная информация клеточного организма.

КСР способно принимать предложенную информацию через вирусный механизм© с интеграцией на все уровни, включая клеточную базу данных©.
Интегрированная в структуру КСР вирусная информация способна к созданию новых и обновленных алгоритмов различного назначения.
Алгоритмы будут использовать предложенную, доступную в среде© информацию в процессе реализации вирусного механизма©.
Доступность в среде© - условной показатель, символ алгоритма процесса.

Математическая модель вирусного механизма© основана на принципах Р.Л.Бартини «ИЛИ-ИЛИ \ И-И» и «энерго-инфо платформе E°inf» THYMUS.TECH, и применима для любых клеточных организмов.


При этом надо понимать, что в априори все ранее описанные и последующие алгоритмы, могут быть построены как на информационной, так и на энергетической доминанте.

Очевидно, что в процессе интеграции вируса, как такового, именно выбор и принятие той или иной доминанты, будет иметь решающее, результирующее значение для клеточного организма. Это связано с существованием ожидаемых решений от КСР.

Рассмотрим алгоритм процесса вирусного механизма©, по inf-составляющей, как имеющей фактический приоритет, в некой существующей системе:
а именно, варианты:
при:

+\ принятие
-\ непринятие
°\ размещение и\или акцептация

где:

(2.1) Принят и не воспринят \ не размещен, но копирован с сохранением или без сохранения
(2.2) Принят и воспринят
(2.3) Принят и размещен
(2.4) Не принят
(2.5) Принят, воспринят, размещен
(2.6) Принят и размещён, частично воспринят
II.
При этом видится и продолжение процесса, с результатом решения в виде инициации создания нового клеточного организма с новым клеточным системным решением (+КСР) равным +Cр(infn)', как задачи отличной от ранее описанных для процессов - (2) вирусного механизма©:
где:

- тип\вид реагирования, процесс создания нового клеточного организма
+Cр(infn)' - новое клеточное системное решение (+КСР)

Особенность -процесса в том, что процесс инициируется и реализуется при доступности в среде© уже существующего и ранее специфически модифицированного системного решения Cра(inf)'.

Есть понимание, что, достигнутое, клеточное обновление уже имеет алгоритм создания принципиально нового организма.
КСР в данном случае уже нацелено на продуцирование (образование) клеток с иным клеточным системным решением.

Но.
Никакой вирус не способен переиначить деятельность клетки и создать новую - это она делает сама.


Теория THYMUS.TECH считает адаптацию и мутацию ключевыми результатами процесса вирусного механизма©.

Важным является то, что, фактически достигнутые, результаты на уровне органов и организма клетки, могут быть, консолидированы, делегированы и масштабированы по схеме:
Адаптация – есть результат вирусного механизма©, фактически возникший в процессе размещения информации от Aа(infk)'.

Адаптация – есть новое, устойчивое, состояние клеточного организма, как открытой системы, для достижения задач гомеостаза.
Гомеостаз - регуляционный алгоритм в Cр(infn)', способность КСР сохранять устойчивость до, при и после корректировки базы данных©.

При этом важно то, что КСР использует данный алгоритм устойчивости (гомеостаз) для всех уровней своего участия (интегрирования).

Мутация – есть результат вирусного механизма© инициации процесса появление нового +Cр(infn)'.

Понимаем, что -процесс уже присутствуют в КСР как предварительно заданный, но не инициированный алгоритм.

Условия, при которых могут возникнуть такие решения, обуславливается сделанным выводом КСР о необходимости возникновения нового клеточного организма для применения, ранее размещенной, вирусной информации, в схеме
создаваемого +Cр(infn)'.

При этом считаем, что:
Фактически реализованная мутация клеточного организма обеспечивает раскрытие предварительно созданных и новых алгоритмов при условии:
При раскрытии - это всегда новый организм как для существовавшего входного Aа(infk)', так и для ранее существовавшего клеточного организма Cр(infn).

III.
Есть и другой важный аспект.
Важно отметить, что процессы, реализуемые существующими системными решениями на различных уровнях - орган ® система ® группа систем , а так же видимые результаты работы клеточных механизмов немедленного реагирования не могут считаться и быть полноценной адаптацией.
Это только реакция.

А именно:
Где:

R(inf)' - информация
Cр(infn/infR)' – системное решение с интегрированным R(inf)'

Реакция, как системное решение, проявляется, именно, в относительно резком и быстром изменении настроек использования тех или иных процессов на уровне клетки, с трансляцией данных в органы, системы, группы систем.
Возможно, при этом изменяются или, точнее сказать, могут изменяться такие параметры как активность, последовательность, скорость использования, а также иные настройки.

Где:
Удачи.





С уважением к Вам
Научный руководитель команды проекта THYMUS
Крылов Руслан

4 ОКТЯБРЯ / 2020
Made on
Tilda